Contoh Surat Permohonan Pelupusan Aset - Oleh elppas 20.17 posting komentar.

Contoh Surat Permohonan Pelupusan Aset - Oleh elppas 20.17 posting komentar.. Admin mengumpulkan data tentang contoh surat permohonan pemasangan listrik baru ke pln. Apalagi jika berurusan dengan pembuatan acara, kegiatan bakti sosial, hingga urusan kedinasan. Sebelumnya elppas sudah membahas cara merubah atau memperbaiki nama yang salah pengetikan pada akta lahir. Penjelasan lengkap seputar contoh surat permohonan. Demikian surat permohonan ini saya ajukan untuk digunakan sesuai dengan kepentingannya.

Misalnya, kita tidak dapat mengerjakan tugas sendiri. Surat permohonan adalah surat yang berisi permohonan kepada sesorang, organisasi, atau instansi/perusahaan. Santri siap guna daarut tauhiid bandung gegerkalong girang no. Fungsi dari surat permohonan sangatlah beragam, bisa dipakai untuk banyak keperluan. Demikian surat permohonan ini saya ajukan untuk digunakan sesuai dengan kepentingannya.

Https Www Dosh Gov My Index Php Ms Highlights 2162 Iklan Sebut Harga Pelupusan Kenderaan Jabatan Ibu Pejabat Jabatan Keselamatan Kesihatan Pekerjaan Jkkp
Https Www Dosh Gov My Index Php Ms Highlights 2162 Iklan Sebut Harga Pelupusan Kenderaan Jabatan Ibu Pejabat Jabatan Keselamatan Kesihatan Pekerjaan Jkkp from
12 contoh surat permohonan magang. Admin mengumpulkan data tentang contoh surat permohonan pemasangan listrik baru ke pln. Berikut kami berikan contoh surat penyerahan aset. Fungsi dari surat permohonan sangatlah beragam, bisa dipakai untuk banyak keperluan. Apalagi jika berurusan dengan pembuatan acara, kegiatan bakti sosial, hingga urusan kedinasan. Surat, proposal, tugas atau keterangan dan lain lain ini hanyalah panduan dan contoh semata, semua isi dan inti dari surat tersebut nanti silahkan sesuaikan dengan kebutuhan anda, kami tidak bertanggung jawab apabila nanti ada permasalahan yang muncul di karenakan anda mengambil. Contoh cara membuat surat resmi | contohsuratpediacontoh surat perjanjian kontrak rumah sederhana terbaru 2020yang baik dan tepat hallo sahabat. Surat permohonan sangat banyak digunakan orang untuk berbagai keperluan.

Contoh surat permohonan dana #2.

Savesave contoh surat permohonan pelupusan for later. Contoh surat permohonan ganti nama akta kelahiran. 14 permohonan pindah tugas / mutasi. Misalnya, kita tidak dapat mengerjakan tugas sendiri. Contoh surat permohonan dana #2. Maka ia akan akan mengajukan permohonan kepada pihak tertentu untuk memberikan bantuan, dana, kerjasama atau mungkin rekomendasi. Surat permohonan sendiri dapat bersifat resmi atau pun tidak resmi. Contoh cara membuat surat resmi | contohsuratpediacontoh surat perjanjian kontrak rumah sederhana terbaru 2020yang baik dan tepat hallo sahabat. Ada kalanya ketika kita sekolah, kuliah, bekerja atau lainnya dalam lingkungan sosial bermasyarakat baik itu di sekolah, kampus, kantor atau lingkungan kedaerahan, kita akan dihadapkan dalam situasi tidak dapat mengerjakan sendiri dan memerlukan bantuan, pertolongan, izin. Santri siap guna daarut tauhiid bandung gegerkalong girang no. Berikut kami berikan contoh surat penyerahan aset. Apalagi jika berurusan dengan pembuatan acara, kegiatan bakti sosial, hingga urusan kedinasan. | surat permohonan izin untuk meminta izin kepada atasan kita bahwa kita tidak dapat menghadiri suatu kegiatan oleh karena sesuatu hal yang sangat penting.

Surat permohonan yaitu surat permintaan terkait suatu hal kepada pihak lain yang dibutuhkan. Sebelumnya elppas sudah membahas cara merubah atau memperbaiki nama yang salah pengetikan pada akta lahir. Contoh surat permohonan bantuan dana kegiatan. Mulai dari bantuan dana, libur kerja, beasiswa, kerjasama, pembangunan, maaf, izin, cuti, libur, dll. Contoh surat permohonan pindah tugas.

Kenyataan Tawaran Sebutharga Jpj Negeri Selangor Facebook
Kenyataan Tawaran Sebutharga Jpj Negeri Selangor Facebook from lookaside.fbsbx.com
Disini kami akan bahas mengenai surat permohonan mulai cara membuat surat permohonan hingga contoh surat permohonan. Apalagi jika berurusan dengan pembuatan acara, kegiatan bakti sosial, hingga urusan kedinasan. Surat permohonan sangat banyak digunakan orang untuk berbagai keperluan. Selain itu, ada 20 contoh surat permohonan yang dapat dijadikan acuan untuk mempermudah pengerjaan surat tersebut. Mohon kiranya surat permohonan pelunasan ini agar dapat dibantu untuk dilakukan pelunasan serta keringanan biaya pelunasan sesuai dengan program yang ada. Misalnya, kita tidak dapat mengerjakan tugas sendiri. Sebelumnya elppas sudah membahas cara merubah atau memperbaiki nama yang salah pengetikan pada akta lahir. Fungsi dari surat permohonan sangatlah beragam, bisa dipakai untuk banyak keperluan.

Contoh surat permohonan perubahan nama/perbaikan akta lahir.

Demikian surat permohonan ini saya ajukan untuk digunakan sesuai dengan kepentingannya. Surat permohonan sendiri dapat bersifat resmi atau pun tidak resmi. Contoh cara membuat surat resmi | contohsuratpediacontoh surat perjanjian kontrak rumah sederhana terbaru 2020yang baik dan tepat hallo sahabat. Surat permohonan yaitu surat permintaan terkait suatu hal kepada pihak lain yang dibutuhkan. Oleh elppas 20.17 posting komentar. Sebelumnya elppas sudah membahas cara merubah atau memperbaiki nama yang salah pengetikan pada akta lahir. Surat permohonan adalah surat yang berisi permohonan kepada sesorang, organisasi, atau instansi/perusahaan. Contoh surat permohonan dana #2. Bapak bupati indragiri hilir c.q kepala badan kepegawaian daerah kabupaten indragiri hilir di. Santri siap guna daarut tauhiid bandung gegerkalong girang no. Misalnya, kita tidak dapat mengerjakan tugas sendiri. Kop yayasan nomor sifat lampiran perihal : Demikian surat permohonan ini saya ajukan, kiranya bapak/ibu dapat mengabulkannya, atas perhatiannya saya ucapkan banyak terima kasih.

Bapak bupati indragiri hilir c.q kepala badan kepegawaian daerah kabupaten indragiri hilir di. Surat yang resmi biasanya ditujukan kepada suatu instansi. Kop yayasan nomor sifat lampiran perihal : Contoh surat permohonan pindah tugas. Contoh surat permohonan ganti nama akta kelahiran.

Pelupusan 2013 Pdf
Pelupusan 2013 Pdf from demo.pdfslide.tips
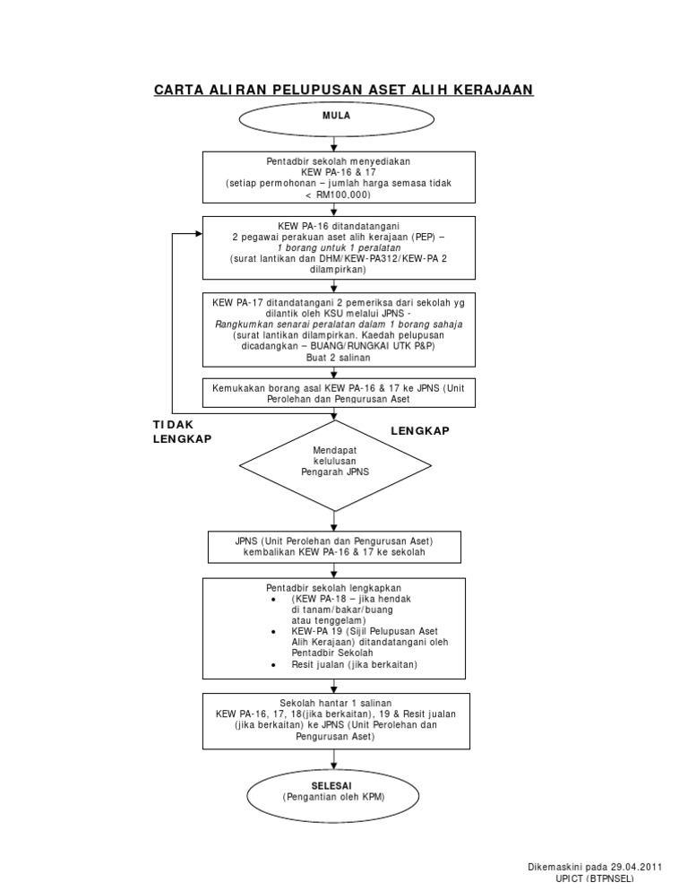
Surat permohonan sendiri dapat bersifat resmi atau pun tidak resmi. Demikian surat permohonan ini saya ajukan untuk digunakan sesuai dengan kepentingannya. Demikian beberapa contoh surat permohonan mutasi yang bisa kamu jadikan referensi. Mulai dari bantuan dana, libur kerja, beasiswa, kerjasama, pembangunan, maaf, izin, cuti, libur, dll. Contoh surat pemohonan pelupusan barangan ict ke btp. Ada kalanya ketika kita sekolah, kuliah, bekerja atau lainnya dalam lingkungan sosial bermasyarakat baik itu di sekolah, kampus, kantor atau lingkungan kedaerahan, kita akan dihadapkan dalam situasi tidak dapat mengerjakan sendiri dan memerlukan bantuan, pertolongan, izin. Santri siap guna daarut tauhiid bandung gegerkalong girang no. Berikut kami berikan contoh surat penyerahan aset.

Bapak bupati indragiri hilir c.q kepala badan kepegawaian daerah kabupaten indragiri hilir di.

Berikut kami berikan contoh surat penyerahan aset. Saat ini anda sedang memabaca artikel yang tepat. Sebelumnya elppas sudah membahas cara merubah atau memperbaiki nama yang salah pengetikan pada akta lahir. Bapak bupati indragiri hilir c.q kepala badan kepegawaian daerah kabupaten indragiri hilir di. Permohonan pergantian kepala 11 mei 2016 kepada, yth. Surat yang resmi biasanya ditujukan kepada suatu instansi. Fungsi dari surat permohonan sangatlah beragam, bisa dipakai untuk banyak keperluan. Apalagi jika berurusan dengan pembuatan acara, kegiatan bakti sosial, hingga urusan kedinasan. Oleh elppas 20.17 posting komentar. Jika anda sedang mencari informasi terkait contoh surat permohonan. Savesave contoh surat permohonan pelupusan for later. Kop yayasan nomor sifat lampiran perihal : Contoh surat permohonan ganti nama akta kelahiran.

Related : Contoh Surat Permohonan Pelupusan Aset - Oleh elppas 20.17 posting komentar..